x
This website is using cookies. More info. That's Fine
Articles, Interviews and Technical Notes AArticles, Interviews and Technical Notes

|   INTERVIEWS    |   ARTICLES   |   TECHNICAL NOTES   |


INTERVIEWS


Technology partnering enables liquid chromatography innovation

Technology partnering enables liquid chromatography innovation

Carlo Dessy is Managing Director of Testa Analytical Solutions eK, a respected international developer and supplier of instruments, innovative detectors and software for liquid flow applications. Here I am sharing an interesting interaction with Carlo Dessy.
Published in MicroBioz India – November 2023
Read on


Custom design strategy to support wider global expansion at Testa Analytical

Custom design strategy to support wider global expansion at Testa Analytical

TESTA Analytical Solutions eK (Berlin, Germany), a five-year old developer of size exclusion chromatography (SEC) instruments and related detectors and software, and distributor of third-party dynamic light scattering (DLS) and Zeta Potential systems, is aiming to build on its success in the European custom design market to provide “worldwide operating clients with application-optimised versions of our growing portfolio of proprietary instruments and detectors,” Carlo Dessy, the company’s founder, owner and CEO, told Instrument News.
Read on


Les partenariats technologiques favorisent l’innovation dans le domaine de la chromatographie liquide

Les partenariats technologiques favorisent l’innovation dans le domaine de la chromatographie liquide

Le développement de nouveaux produits visant à améliorer les capacités, les performances, la fiabilité, la facilité d’utilisation, la traçabilité des données et le service après‑vente est un objectif stratégique clé pour de nombreuses entreprises d’instrumentation.
Published in La Gazette du Laboratoire – February 2024
Read on


The importance of real time flow monitoring in Analytical labs

The importance of real time flow monitoring in Analytical labs

Backed by over 30 years of experience in the field of instrument development and device engineering, TESTA Analytical is today a leading developer and supplier of optimised detectors and instruments for liquid chromatography and flow monitoring in particular.
Published in MicroBioz India – February 2023
Read on


Interview: Insights from Industry

Interview: Insights from Industry

Why are Testa Analytical involved in polymer characterization and particle sizing? In the eyes of Testa Analytical polymer characterization in terms of chromatography and particle sizing using DLS are just two ways of looking at the same subject. We look at the same material from two different points of views which in turn gives us a better understanding of the whole material which is exactly what Testa Analytical strives to provide the solution for.
Read on


ARTICLES


Flow technique provides precise control over LNP formulation production

Flow technique provides precise control over LNP formulation production

Lipid nanoparticles (LNPs) are a type of drug delivery system tat uses lipids to encapsulate and transport therapeutic agents, including drugs and genetic material, to targeted cells or tissues. They are increasingly recognised for their potential in overcoming challenges associated with conventional drug delivery, such as poor solubility, instability, and limited bioavailability.
Published in International Labmate – November 2025
Read on


La técnica de flujo proporciona un contyrol preciso sobre la producción de formulaciones LNP

La técnica de flujo proporciona un contyrol preciso sobre la producción de formulaciones LNP

Las nanoparticulas lipidicas (LNP) son un tipo de sistema de administración de fármacos que utiliza lipidos para encapsular y transportar agentes tera péuticos, incluidos fármacos y material genético, a c´lulas o tejidos especificos. Cada vez se reconoce más su potencial para superar los retos asociados a la administración convencional de fármacos, como la baja solubilidad, la inestabilidad y la biodisponibilidad limitada.
Published in tecnicas de LABORATORIO – October 2025
Read on


Effects of small deviations in flow rate on GPC/SEC results

La technique Flow permet un contrôle précis de la production des formulations LNP

Les nanoparticules lipidiques (LNP) sont un type de systéme d'administration de médicaments qui untilise des lipides pour encapsular et transporter des agents thérapeutiques, notamment des médicaments et du matériel génétique, vers des cellules ou des tissus ciblés.
Published in La Gazette Du Laboratoire – October 2025
Read on


Effects of small deviations in flow rate on GPC/SEC results

Effets de petites déviations du débit sur les résultats de la GPC/SEC

La GPC/SEC est sans aucun doute l’une des techniques les plus puissantes pour la caractérisation des polymères naturels et synthétiques. Sa flexibilité et le contenu informatif d’une seule mesure en font la technique de choix pour plusieurs objectifs différents, de la simple détermination de la distribution du poids moléculaire et de la polydispersité à l’analyse de structure la plus complexe ou à la distribution de la composition des copolymères.
Published in La Gazette Du Laboratoire – June 2025
Read on


Effects of small deviations in flow rate on GPC/SEC results

1% Abweichung, 40% Fehler: So htig ist Durchflussmessung

Kalibrierungen sind Pflicht für wiederholgenaue Ergebnisse. Doch gerade aufwendige Messreihen wie in der Gel-Permeations-Chromatographie dauern oft lange, sodass die tatsächliche Flussrate minimal abweichen kann. Welch enorme Folgen dies nach sich zieht, zeigt das folgende Beispiel.
Published in LaborPraxis – April 2025
Read on


Effects of small deviations in flow rate on GPC/SEC results

Effects of small deviations in flow rate on GPC/SEC results

GPC/SEC is undoubtedly one of the most powerful techniques for the characterisation of natural and synthetic polymers. Its fexibility and the high information content available from just a single measurement, makes it the technique of choice for simple determination of molecular weight distribution and polydispersity of the most complex structure analysis or co-polymer composition distributions.
Published in Lab Asia – April 2025
Read on


Effects of small deviations in flowrate on GPC/SEC results

El refractómetro differencial mejora la determinación del peso molecular por dispersión de la luz

El refractómetro differencial de Testa Analytical mejora la precisión de la determinación de dn/dc utilizando técnicas de dispersión de luz.
Published in International Labmate – March 2025
Read on


Effects of small deviations in flowrate on GPC/SEC results

Effects of small deviations in flowrate on GPC/SEC results

GPC/SEC is undoubtedly one of the most powerful techniques for the characterisation of natural and synthetic polymers. Its fexibility and the high information content available from just a single measurement, makes it the technique of choice for simple determination of molecular weight distribution and polydispersity to the most complex structure analysis or co-polymer composition distribution.
Published in International Labmate – March 2025
Read on


Comparing volumetric and thermal flowmeters for assessing and validating liquid chromatography performance

Comparing volumetric and thermal flowmeters for assessing and validating liquid chromatography performance

Assessing and validating the performance of a pump serving HPLC, UHPLC, Ion Chromatography of GPC/SEC system is a crucial task in many laboratories these days.
Published in International Labmate – February 2025
Read on


Comparing volumetric and thermal flowmeters for assessing and validating liquid chromatography performance

Comparing volumetric and thermal flowmeters for assessing and validating liquid chromatography performance

Assessing and validating the performance of a pump serving HPLC, UHPLC, Ion Chromatography of GPC/SEC system is a crucial task in many laboratories these days.
Published in Lab Asia – February 2025
Read on


Comparaison des débitmètres volumétriques et thermiques pour l'évaluation et la validation des performances de la chromatographie liquide

Comparaison des débitmètres volumétriques et thermiques pour l'évaluation et la validation des performances de la chromatographie liquide

L’évaluation et la validation des performances d’une pompe destinée aux systèmes HPLC, UHPLC, de chromatographie ionique ou de GPC/SEC est une tâche cruciale dans de nombreux laboratoires.
Published in La Gazette du Laboratoire – December 2024
Read on


Comparación de caudalímetros volumétricos y térmicos para evaluary y validar el rendimiento de la cromatografía líquida

Comparación de caudalímetros volumétricos y térmicos para evaluary y validar el rendimiento de la cromatografía líquida

Evaluar y validar el rendimiento de una bomba al servicio de un sistema de HPLC, UHPLC, cromatografía iónica o GPC/SEC es una tarea crucial en muchos laboratorios hoy en día. Para ello, la determinación precisa del caudal es una herramienta poderosa.
Published in Tecnicas de Laboratorio – December 2024
Read on


Validation du gradient HPLC à l'aide de débitmètres non invasifs

Testa Analytical's monitoring device used to validate preparative HPLC pump

Regular pump flow rate validation is crucial to ensuring pump performance, repeatability, and compliance with regulations. In this investigation, a non-invasive, real time flow monitoring device – the Prep Flowmeter was used to validate a Teledyne SSI M1 40ml single-headed, positive displacement piston pump commonly used for preparative liquid chromatography applications.
Published in Scientist Live – December 2024
Read on


Validation du gradient HPLC à l'aide de débitmètres non invasifs

Validation du gradient HPLC à l'aide de débitmètres non invasifs

La CLHP à gradient est un outil essentiel pour l’analyse d’échantillons contenant des composés de polarité variable. Son efficacité découle de la possibilité d’adapter à la fois la durée et la composition du gradient, ce qui permet de manipuler les temps de rétention des analytes.
Published in La Gazette du Laboratoire – October 2024
Read on


HPLC gradient validation using non-invasive flowmeters

HPLC gradient validation using non-invasive flowmeters

Gradient HPLC serves as a crucial tool for analysing samples containing compounds with varying polarity. Its effectiveness stems from the ability to tailor both gradient time and composition, enabling the manipulation of analyte retention times. However, challenges arise from deviations in the programmed gradient profiles produced by HPLC systems, impacting retention time and peak shape. Several factors contribute to this variability in gradient HPLC, such as solvent quality, pump performance, changes in system pressure, and the condition of the columns. Addressing these challenges requires precise control and monitoring of gradient profiles.
Published in International Labmate – September 2024
Read on


Validación de gradientes de HPLC con caudalímetros no invasivos

Validación de gradientes de HPLC con caudalímetros no invasivos

La HPLC de gradiente es una herramienta crucial para analizar muestras que contienen compuestos de polaridad variable. Su eficacia radica en la capacidad de adaptar tanto el tiempo como la composición del gradiente, lo que permite manipular los tiempos de retención de los analitos.
Published in Tecnicas de Laboratorio – July/August 2024
Read on


Enhancing HPLC Field Service with fast-response, non-invasive flowmeters

Enhancing HPLC Field Service with fast-response, non-invasive flowmeters

Field Service Engineers are crucial to scientists striving to get the most from their analytical equipment. The maintenance, performance assurance and validation of HPLC/uHPLC systems gains particular importance when this equipment is an essential component in labs subject to compliance found in the pharmaceutical, food, beverage, and environmental analysis sectors.
Published in Lab Asia – June 2024
Read on


Enhancing HPLC Field Service with fast-response, non-invasive flowmeters

Enhancing HPLC Field Service with fast-response, non-invasive flowmeters

Field Service Engineers are crucial to scientists striving to get the most from their analytical equipment. The maintenance, performance assurance and validation of HPLC/UHPLC systems gains particular importance when this equipment is an essential component in labs subject to compliance found in the pharmaceutical, food, beverage, and environmental analysis sectors.
Published in MicroBioz India – April 2024
Read on


Mejora del servicio de campo de HPLC con caudalímetros no invasivos y de respuesta rápida

Mejora del servicio de campo de HPLC con caudalímetros no invasivos y de respuesta rápida

Field Service Engineers are crucial to scientists striving to get the most from their analytical equipment. The maintenance, performance assurance and validation of HPLC/UHPLC systems gains particular importance when this equipment is an essential component in labs subject to compliance found in the pharmaceutical, food, beverage, and environmental analysis sectors.
Published in Laboratorio – April 2024
Read on


Laboratory 4.0 & Liquid Chromatography

Laboratory 4.0 & Liquid Chromatography

In the world of analytical chemistry, liquid chromatography stands as a cornerstone technique, enabling scientists to separate, identify, and quantify components with unparalleled precision.
Published in MicroBioz India – February 2024
Read on


Studying the Impact of Dissolved and Undissolved Gas on the Performance of Peristaltic Pumps

Studying the Impact of Dissolved and Undissolved Gas on the Performance of Peristaltic Pumps

A set of experiments illustrating how dissolved gas can affect peristaltic pumps in chromatography processes.
Published in Lab Manager – July 2023
Read on


Gefahr erkannt, Gefahr gebannt

Gefahr erkannt, Gefahr gebannt

Der Feind peristaltischer Pumpen sind Gasblasen. Welchen Einfluss gelöstes und ungelöstes Gas auf die Leistung dieser Pumpen hat und damit auf HPLC, GPC & Co. und was sich dagegen unternehmen lässt, erfahren Sie in diesem Beitrag.
Published in Laborpraxis – May-June 2023
Read on


Studying the Impact of Dissolved and Undissolved Gas on the Performance of Peristaltic Pumps

Studying the Impact of Dissolved and Undissolved Gas on the Performance of Peristaltic Pumps

Peristaltic pumps are fluid delivery tools widely used in laboratory techniques including HPLC, GPC/SEC, Flow Chemistry and Liquid Dosing. It is widely acknowledged that dissolved gas can have an impact on the performance of peristaltic pumps. A common solution to address this problem with HPLC systems, is to utilise a vacuum degasser on the inlet side of the pump. A vacuum degasser is fundamentally a chamber kept under vacuum pressure that contains a length of gas-permeable tubing leading the solvent to the pump. Using this technology, any gas dissolved in the solvent will be extracted in the vacuum chamber before it can reach the pump. Vacuum degassers have been shown to be very efficient for removing dissolved gas, they do however fail completely if any undissolved gas bubbles are transported along the tubing.
Published in International LabMate – June 2023
Read on


The Importance of Understanding Pump Flow

The Importance of Understanding Pump Flow

Pumps are one of the most common tools enabling liquids to be moved, delivered, pushed through a separation column, supplied as a dose or transferred from one container to another. Several different pumping technologies are available to choose from, depending on your application or problem. As you might expect - a pump designed to pump crude oil through a pipeline has very different requirements compared to a pump designed to deliver a constant stream of medication into a patient’s vein. As such, the term ‘flow’ can be interpreted very differently, depending on the context.
Published in International LabMate – July 2022
Read on


nvestigating Variation in Flow from Peristaltic Pumps

Investigating Variation in Flow from Peristaltic Pumps

Peristaltic pumps find wide application in modern labs, they are considered inexpensive, easy to use and to maintain and, most important of all, are extremely reliable and flexible. The range of application is huge, from simple transfer of a liquid from one container to another in HPLC and Ion chromatographs, to more complex usage as dispensing tools for reagents in flow chemistry.
Published in MicroBioz India – June 2022
Read on


The Importance of Understanding Pump Flow

Investigating Variation in Flow from Peristaltic Pumps

With peristaltic pumps, several flow paths can be operated simultaneously. However, many parameters influence the actual flow rate in each channel. Accurate determination of the individual flow rate in the individual channels is crucial for reproducible results.
Published in Lab Worldwide – February 2022
Read on


Specialty Chromatography Detectors: Make or Buy?

Specialty Chromatography Detectors: Make or Buy?

Liquid Chromatography of any kind - HPLC, UHPLC, GPC/SEC, Ion Chromatography or FPLC, is based upon the specific characteristics of the utilised separation column to provide a suitable environment for a particular application or investigation. As such, creating an optimised separation is often considered to be the core of an individual liquid chromatography system. Separation alone, however, does not supply answers, it just creates the correct preconditions whereby chromatography detectors are able to reveal the 'secrets' of your sample.
Read on


Common detectors for GPC/SEC Chromatography

Common detectors for GPC/SEC Chromatography

This article provides an overview about the detectors most commonly used in GPC/SEC applications, explains differencies within each detector class, provides inforamtions about pro's and con's of each detector and also explores combination of detectors for the most useful hyphenated techniques in GPC/SEC.
Read on


Determination of specific refractive index increment (dn/dc)

Determination of specific refractive index increment (dn/dc)

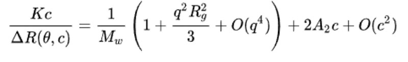
The specific refractive index increment (dn/dc) is a fundamental parameter for the determination of molecular weight with Static Light Scattering. Its importance will become clear by observation of the Debye's constant in the SLS equation, where the dn/dc is a squared term. As such, any error in the specific refractive index increment will strongly effect the molecular weight results. This is true for both cases, when SLS is used in batch mode, like in case of a goniometer system, or in flow mode like in case of a MALS Detector in GPC/SEC.
Read on


TECHNICAL NOTES


Improving Determination of Absolute Molecular Weight by SLS and MALS

Improving Determination of Absolute Molecular Weight by SLS and MALS

Multi-Angle Static Light Scattering (MALS) is the preferred choice with scientists when determination of absolute molecular weight is a necessity. This technique not only has a solid basis in physics, it is also well understood, documented and widely used.
Read on


Achieving accurate temperature-independent flow measurement

Achieving accurate temperature-independent flow measurement

Accurate measurement of flow is a critical parameter in liquid chromatography systems where retention times and peak shape are often directly affected by flow rate. In such systems, even slight variations in flow can degrade reproducibility and data integrity. In HPLC and GPC applications, temperature variations are inevitable either due to heated column compartments, pump motors, or pre-heated solvent.
Read on


HPLC qualification for GMP-regulated labs

HPLC qualification for GMP-regulated labs

Qualification of HPLC Systems is one of the most common tasks in GMP-regulated laboratories. Several different regulatory guidelines and pharmacopeial standards offer frameworks for this, ranging from pure instructions to rigid quality standards to be checked and documented in regular intervals.
Read on


A time-saving pump validation method for preparative chromatography

A time-saving pump validation method for preparative chromatography

Regular pump flow rate validation is a crucial tool in ensuring pump performance, repeatability, and compliance with regulations. In this investigation, a non-invasive, real time flow monitoring device – the Prep Flowmeter was used to validate a Teledyne SSI M1 40ml single-headed, positive displacement piston pump commonly used for preparative liquid chromatography applications.
Read on


Validating HPLC results obtained using any solvent

Validating HPLC results obtained using any solvent

High-Performance Liquid Chromatography (HPLC) stands as a cornerstone technique in analytical chemistry, facilitating the separation, identification, and quantification of chemical and biological compounds. While many applications are based upon aqueous eluents, HPLC separation protocols also often involve the utilization of other solvents to accommodate the unique properties of different analytes. Ensuring consistent elution profiles is a key requirement to ensure reproducible results. Continuous monitoring of the delivered HPLC eluent flow rate is therefore essential when permanent validation of results is desired or necessary as it is in regulated industries.
Read on


HPLC Gradient Validation using Non-invasive Flowmeters

HPLC Gradient Validation using Non-invasive Flowmeters

Gradient HPLC serves as a crucial tool for analysing samples containing compounds with varying polarity. Its effectiveness stems from the ability to tailor both gradient time and composition, enabling the manipulation of analyte retention times. However, challenges arise from deviations in the programmed gradient profiles produced by HPLC systems, impacting retention time and peak shape. Several factors contribute to this variability in gradient HPLC, such as solvent quality, pump performance, changes in system pressure, and the condition of the columns. Addressing these challenges requires precise control and monitoring of gradient profiles.
Read on


Preventing the 'Jetstream effect' in HPLC flow measurements

Preventing the 'Jetstream effect' in HPLC flow measurements

The flow profile delivered by an HPLC system can be affected by an abrupt change in the internal diameter (ID) of tubing when the change is from a narrow bore to a significantly larger bore. Such an abrupt change in ID causes a "core stream" to be built in the larger ID tubing leaving the liquid layers closer to the wall of the tube practically unperturbed. This 'Jetstream effect' will decisively affect the velocity profile of eluant flow creating disturbances which will decrease the accuracy of HPLC flow rate measurement. Often underestimated, this phenomenon might also affect peak symmetry, it is therefore crucial to understand it and prevent.
Read on


Comparing techniques for flow rate measurement in Liquid Chromatography

Comparing techniques for flow rate measurement in Liquid Chromatography

All TESTA Analytical Flowmeters come with a Certificate of Conformity which demonstrates compliance of each individual product with our published specifications. The certificate of conformity testifies the internal process involved in assuring a certain quality of each and every flowmeter shipped to clients. This process includes fulfillment of a documented production process to a set of measurements aimed to prove that each and every instrument delivered will perform within specification.
Read on


Comparing techniques for flow rate measurement in Liquid Chromatography

Comparing techniques for flow rate measurement in Liquid Chromatography

Accurate determination of flow rate is one of the most common, and often overlooked, means of assessing or validating the performance of a pump serving a HPLC, UPLC, Ion-Chromatography or GPC/SEC system. Using the right technique, it is nowadays possible to use flow rate monitoring as a powerful diagnostic tool, allowing fast detection of leaks, faulty check-valves and worn seals.
Read on


Creating a better differential viscometer

Creating a better differential viscometer

Used as a GPC/SEC detector to determine the specific viscosity of a polymer or protein in solution - differential viscometers have been around for decades and have demonstrated their value in numerous applications. The R&D team at TESTA Analytical has improved the original 4-capillary bridge design and created a new generation differential viscometer with exceptional performance and operational advantages.
Click here to download


Design Considerations for Refractive Index Detectors - different instrument techniques, different goals

Design Considerations for Refractive Index Detectors - different instrument techniques, different goals

The detection technique of choice for HPLC separation of non-UV active substances, such as saccharides, is a Differential Refractive Index (DRI) detector. In most cases, the required analysis is purely quantitative and based on comparison of the area below the sample peak with the area below the peak of a run performed with the same compound at a known concentration.
Click here to download


Real-Time Monitoring of HPLC Pump Performance

Real-Time Monitoring of HPLC Pump Performance

High Performance Liquid Chromatography (HPLC) is nowadays one of the most widely used techniques in analytical chemistry. The range of applications soluble using HPLC covers a vast range of sample types, concentrations, and compositions. This extreme flexibility is achieved by using specific columns carefully designed for each particular investigation.
Click here to download


How Enhanced Detector Stability Leads to Improved GPC/SEC Results

How Enhanced Detector Stability Leads to Improved GPC/SEC Results

GPC (Gel Permeation Chromatography) or SEC (Size-Exclusion-Chromatography is widely acknowledged as one of the most useful characterization methods in polymer science. The technique offers the possibility to determine molecular weight distribution and its averages, to provide a complete picture of the polymer sample under investigation.
Click here to download